DD5LP/P – January 22-23 2024 – Short Break to Füssen with POTA & HEMA/SOTA activations.

Preparation:

A short 3-night break with the family to Füssen near the Austrian/German border brought the chance of some portable radio activations. The problem of planning ahead with this trip was the uncertainty of the weather and indeed two of the days were ruled out due to high winds or constant rain but a POTA activation and a combined HEMA/SOTA activation could take place. See previous reports to explain how a summit can be in both HEMA and SOTA. As my new wire beam has, because of long-term sub-zero temperatures and snow cover, not been able to be tuned as yet (and its supporting surveyor’s tripod could not be taken along due to lack of space in the car), the good old 6m telescopic fishing pole with a linked dipole would be the antenna of choice on any summits and the Komunica HF-Pro2-Plus-T on a mag mount on the car roof for the POTA activation which would be again a PLOTA (Parking Lot on the air) from a car park, just within the boundaries of the park. 

The Activations

Monday 22nd January – POTA DA-0003 Ammergauer Alps NP.

This POTA park is quite large and the last time I activated this, it was a joint activation with the SOTA “Laber” summit which is in the East of the park. This time I would be activating from the western edge of the park.

After checking into our hotel and dropping off my wife at the Spa, our dog Bonnie and I drove to the parking area that I had found on the map to be within the park’s boundaries. Of course, before starting operating, a higher priority was to take the dog for a walk up into the forest on the side of the hill. Once this was taken care of I could set up the station in the car. The G90 radio and its battery were put on the front passenger seat and the antenna was located on the magnetic mount on the roof.

I had decided to start on 40 metres as normally this is a sure way to get a few contacts in the log and with POTA 10 contacts are needed to qualify the park. This was more difficult than expected with the spot on the POTA site not bringing the expected flood of calls. I tried a different frequency in case there was someone, that I could not hear on my chosen frequency and after a little while longer I managed four contacts but then the calls dried up. It was about noon and perhaps this is not a good time for 40 metres? 

So after a switch to 20m and re-adjusting the antenna, we had a totally different story with lots of calls getting into the log. Indeed the final count was 23 contacts in 45 minutes, with a few of those being a little longer than the usual report exchange.

Tuesday 23rd January – HEMA/SOTA DL/HBY-036 Eisenberg / DL/AL-171 Eisenberg.

I had considered activating some summits closer to Füssen, that I had not activated before, however as most tracks were still snow-blocked and some others simply dangerous at this time of year, I decided to drive a little further and activate a summit that I know well and have activated several times over the last few years. Eisenberg has a publicly accessible castle ruins on its summit with a wooden platform added to one end, where I normally set up.

En route the rain that had started soon after I left the hotel stopped just as I was arriving at the starting point for the climb. The walk up from the (unfortunately closed) Schlossalm Zell restaurant needed me to fit my shoe spikes as the path was thick ice and as I got closer to the summit, the winds were increasing.

I was not worried as I knew I had a good strong point to strap the mast to and could shelter alongside the wall on the platform. On arriving at the platform, I was surprised to see a new fence across it as it seems half of the platform has rotted away and is awaiting repair. This messed up the idea of setting up on the platform so I searched around in the ruins in the hope of finding a large enough area to string out the antenna and at the same time have some shelter from the winds.

No such spot was to be found but I did find a sheltered spot with enough room to put up my backup antenna, the Komunica HF-PRO2-Plus-T on its tripod with radial wires. This was going to have to be the option and as I could see further clouds heading towards me, I wanted to make a fairly quick activation (for both HEMA and SOTA only 4 contacts are needed to qualify the summit)

Learning from the previous day’s experience I decided to start on 20 metres rather than 40 metres and given the incoming weather, this was going to be a single-band activation.

This activation racked up 17 contacts in 14 minutes (several of these regular chasers who I had not yet talked to in 2024) before I packed up and headed back to the car at which point the incoming rain started – I had been lucky with the weather.

At this point, an activation of Falkenstein (another summit with castle ruins on it), had been planned for either Wednesday or Thursday but very strong winds on Wednesday and constant rain on Thursday, meant that activation never took place.

 Photos:

POTA DA-0003 Ammergauer Alps National Park

This slideshow requires JavaScript.

HEMA DL/HBY-036 / SOTA DL/AL-171 Eisenberg

This slideshow requires JavaScript.

Equipment taken:

  • MountainTop 40-litre rucksack.
  • Xiegu G90.
  • Komunica Power HF-Pro2-PLUS-T loaded vertical antenna. (used with magnetic mount for the first activation and on a tripod with radials for the second activation).
  • Three-magnet car roof antenna mount.
  • Modified mini photo tripod with clip-on radials
  • Lamdahalbe 6m mini-mast (not used).
  • SotaBeams linked dipole (not used).
  • 4 Ah LifePO4 Eremit battery.
  • 4.5 Ah LiHV battery.
  • Painter’s thick plastic sheet and gardener’s kneeling pad.
  • Lightweight headphones.
  • Smartphone to spot and back-channel comms. 

Logs:

POTA DA-0003 Ammergauer Alpen NP

POTA Contacts Map

HEMA DL/HBY-036 Eisenberg

SOTA DL/AL-171 Eisenberg

SOTA Contacts map:

Conclusions:

  • The weather was a problem mainly on the second two days, stopping the hoped-for third activation.
  • The Xiegu G90 continues to work reliably.
  • Again the Komunica Power HF-PRO-2-Plus-T – again saved the day on the summit activation.

73 ’til the next summit/park/island.

 

 

 

 

 

 

 

 

 

 

 

 

 

DD5LP/P – March 24th 2022 – HEMA – DL/HAL-037 & SOTA DL/AL-171 – Eisenberg.

Background – Double summit.

Some of you may recognise the name of this summit from my previous reports. Eisenberg is a current SOTA and a current HEMA summit. How can this happen? Well HEMA strictly adheres to its rule of including only summits with a prominence greater than 100 metres and less than 150 metres. For historical reasons, SOTA summits are not always over the SOTA rule of a minimum of 150m prominence.  

Preparation:

This activation was planned to be a little after the normal time for our twice-weekly “Comms Testers net” on 14.242 MHz which normally runs from 0745-0815 UTC on Monday & Thursday mornings, because of the somewhat longer distance to this summit.

Ernie VK3DET had promised to wait until I got on the air and Mike 2E0YYY would listen from the UK and we would use Signal as the “back-channel”.

Eisenberg has popular castle ruins on top of it and in fact, the wooden platform within the ruins is where I always set up. One big advantage to Eisenberg is the mountain restaurant where I would park my car and head there for a beer after completing the activation. It has a great view out over the valley. I avoid this summit on weekends because of the tourists but weekdays are fine (except Monday when the restaurant is closed).

The climb from the restaurant car park to the castle is steep and in winter very slippery. I have needed to fit spikes to get up the ice-covered path in the past but that certainly should not be needed on this activation, with a dry sunny and reasonable warm day forecast.

As usual for early starts, I loaded the car Wednesday evening with all but my food and water so that all would be ready for a 7 am (0600 UTC) start the following morning.

The Activation

I knew there was one part of my route closed (and has been closed now for 6 months while the complete road is renewed for about 5 miles through Seeg – I know the diversion well for this and it adds hardly any time to the trip. What surprised me though was the total closure of the major east-west route including some newly constructed parts of the road on the way to Markt-Obersdorf. It looked like cars were coming through from the other side, so the return journey should be fine (or so I thought). The signposted diversion in fact took me past 4 SOTA summits, all of which I could have easily diverted to but I wanted to activate Eisenberg, so I pressed on. Actually arriving about 20 minutes earlier than I had expected at the restaurant’s car park! I had not been driving any faster than allowed either, while this was the one day in the year that all of the speed traps in Bavaria are set up, especially on the country roads. The police chiefs say this teaches the drivers to slow down but an investigation looking at data from the last 5 years of these actions, carried out by Passau University, found that car drivers ONLY slowed down on this one day and increased speed the following day again. This is purely a money-raising action for the local governments.

On arrival, at the car park, it was still a little chilly but not nearly as cold as it has been over the last few weeks. It looks like we might have spring arriving after all!

The “trudge” up to the castle took the usual about 20 minutes and I found the place deserted. While setting up the antenna and radio, I got an inquiry from Ernie asking how long I was going to be and a few minutes later, he came straight back to my 20m 20w SSB CQ call on our net frequency. We exchanged 53/54 reports and I tried to explain to Ernie that this summit has two codes, one for HEMA and one for SOTA. During my conversation, I noticed what I at first thought was some idiot causing deliberate QRM by playing music on the frequency but later I realised it was over a larger section of the band and I now believe it was the third harmonic of one of the high powered Shortwave broadcast stations that have been re-started to send propaganda into both sites of the Ukraine-Russia conflict. Someone at the stations needs to put a spectrum analyser on the transmitter’s output! 

The next surprise was that my radio turned off without warning! Right in the middle of one of my overs with Ernie. I had been running on my 10AH battery box but I also carry a spare supply in the firm of a LiHV battery and when I got that out and connected up, I was working again but with less battery capacity available, so I would not be able to stay as long as I had hoped.

After I had worked Ernie, Mike 2E0YYY kindly spotted me first on HEMA and later on SOTA but today instead of the usual pile of callers, it took a while to gather enough to qualify the summit! Even after switching from 20m to 40m, I was not getting many calls and while Mike reported that I had a “booming signal” into the North of the UK, the only two contacts I made on 40m were into the southwest of England with low signal strengths in both directions. The bands were definitely strange. I thought perhaps there was a break in one of the links in the 40m section of the dipole so I tested it when I got home and it was fine. It was band conditions at the time that I was on that were strange.

My 20m contacts were mainly into Sweden and Finland to the North and Greece and Portugal to the south, suggesting the band was “long”.

In any case after the troubles finding contacts (I ended up with thirteen which is more than enough to qualify the summit but a lot less than I would normally get) and seeing the LiHV battery voltage dropping, I decided it was time to pack up and head back down the hill, arriving at the restaurant a few minutes after they opened and I was able to relax looking out over the valley in the sunshine and drinking a lovely weissbier.

The trip home was not as easy as I had hoped. I headed back using my normal route only to find the main B472 road was indeed completely closed in both directions and the diversion from Markt Oberdorf had obviously been worked out for large trucks as it added over 30 minutes to my journey by avoiding taking me up the small roads that would have reduced the journey time, not only because it would have been a shorter route but also I would have avoided being stuck behind slow-moving trucks, that on this “Speed-trap-day”, had the added danger of a speeding fine while overtaking. 

 Photos:

This slideshow requires JavaScript.

Equipment used:

  • Mountaintop travelling 40-litre rucksack.
  • Bothy bag (emergency shelter) (not used).
  • Xiegu G90.
  • Komunica Power HF-Pro2-PLUS-T loaded vertical antenna. (not used)
  • Modified mini photo tripod with clip-on radials (not used)
  • Lamdahalbe 6m mini-mast.
  • SotaBeams linked dipole.
  • Battery box (2 x 5000maH hard-case 4S LIPOs). (failed)
  • 4000maH LiHV battery.
  • Painters thick plastic sheet.
  • Lightweight headphones.
  • Smartphone to spot and for back-channel comms. 

Logs:

HEMA

SOTA

Conclusions:

  • The weather is getting better – I needed no gloves while operating this time.
  • It was a pleasure to get an immediate contact with Ernie, which probably would not have been possible from home. The lower noise level when operating portable is a great advantage.
  • I checked the dipole when I got home and found no breaks – this must just have been radio conditions or obstructions causing the problems.
  • The failure in the battery box turned out to be a simple broken wire, which must have been breaking over a long time through being plugged and unplugged and over time, breaking a strand at a time and then the final strand not being able to handle the current burning through (picture in the slideshow above).

73 ’til the next summit, be it HEMA or SOTA – or perhaps BOTH again?

 

 

 

 

 

 

 

 

 

 

DD5LP/P – August 19th 2021 – DL/AL-171 Eisenberg & DL/AL-167 Falkenstein.

Preparation:

With Christos SV2OXS still in Munich and the trains running again after a strike we decided to include another SOTA activation trip. Initially, we had hoped that Michalos would join us as well however with the delay because of the train strikes, his return flight to Greece was on the same day as this new SOTA schedule.

As Michalos is not a ham, I had deliberately chosen two summits that are interesting for other reasons in that they have castle ruins on top of them and have some great views.

This trip would also act as a test for equipment that I will be using the following week on multiple summits in the Bavarian Forest area of Germany.

Before the day started I had also considered squeezing in a third summit – Zwolferkopf DL/AL-166 which is not far from Falkenstein but with train schedules combined with the one-way, traffic lights controlled road, logistically it wasn’t going to work.

Another attraction of the first summit is a nice country restaurant whose car park I always use when going to Eisenberg. That was also added to the plans.

I was surprised to find a railway station quite close to Eisenberg with a direct train from Munich, so Christos agreed that he would take that 2-hour train journey each way to save me having to drive into Munich to collect him. In any case, either arrangement meant that we would be starting the activations around midday local time and so only have the afternoon for the activations.

I have activated both summits previously and so know what antennas can be accommodated there.  Eisenberg would get the 6-metre mast and linked dipole and the limited space Falkenstein just the photo tripod and the Komunica HF-Pro2 vertical.

The Activation – Eisenberg

Having collected Christos from the railway station where the train arrived right on time, we were on the road up to the restaurant under the summit within 15 minutes but there were crowds of people, mainly walking and lots of cars parked at the bottom of the road – this was the busiest I have seen this summit EVER! It is school holiday time in Bavaria and this was the first nice day for about a week and it was approaching noon, so I suppose I could have predicted this but it was a surprise anyway. Luckily one car had just left and I managed to grab what was probably the last parking spot at the restaurant. After a quick check with the owner (as we were intending to go to the castle ruins on the summit before eating and he said it’d be OK but we couldn’t reserve a table for later). So off we went up a track I know in all kinds of weather still with lots of people doing the same thing – I’m used to being totally alone on this summit, so it was a little strange to have it so busy.

On arriving at the platform, I wanted to set up the mast and linked dipole but with several members of the public around I thought I may not be able to but with my guest along as well, I decided to just go and do it and EVERYONE moved when I needed them to and a few were even interested in what we were doing. It still amazes me that Ham Radio is recognised still by lots of people in Germany in England or Australia I’m sure the reaction would have been “What’s that?” but not here. The German public either know what it is or ask more to learn what it is. It’s a nice feeling almost respect, that you get.

In any case on this summit, I just set up the radio and antenna on 40 metres and got busy getting a few contacts in the log. Meantime Christos with his little QCX and telescopic whip antenna was logging good CW contacts using CW on 20 metres. Once I finished, we switched the linked dipole to 20 metres and connected it to the QCX to get a few more contacts in Christos’s log. It was at about this point that he said beware – the gaps in the planks in the platform are a danger as small components could easily drop through. 

Once the calls on 20 metres dried up, we decided it was time to go down and get lunch so that we could then head to the next summit. While packing up I moved one bag and what happened – Yes, an item dropped through the gap in the wooden planks, never to be seen again. This wasn’t an expensive part – it was just a rubber band that I use to keep the wound up antenna “under control” but after the warning, it was embarrassed to have to admit that I had indeed lost something down the hole! Temporarily the old PVC tape came out and served to hold the rolled-up antenna together until I got home where I found a replacement rubber band.

Once we got back to the restaurant, the queue for a table was across the car park. We were wondering whether to leave and try to find a different restaurant on the way to the next summit but after a little while the queue started moving and we were seated at a table. With the COVID restrictions, they are not allowed to simply fill every table which is what used to happen so there are inevitably delays in getting seated. Once seated however we could order and the food and drinks came very quickly (well done Schlossbergalm Zell!). This meant we were back on schedule but in discussions at lunch, we effectively decided to drop summit number three (Zwolferkopf) in favour of a more casual activation of number two (Falkenstein). After a nice lunch, we were on our way again to arrive at the start of the private road up to Falkenstein just after the lights had turned red. (cars are allowed up the road between xx:15 and xx:55 and down the road between xx:00 and xx:10)

The Activation – Falkenstein

After spending ten minutes as a tour guide/explainer to others who hadn’t known there was a one-way road that only opened at certain times in a particular direction and helping out with change for the ticket machine, which only takes coins (the ticket is till €4 as it was last year), we headed up the road as the first car when the lights turned green.

I pointed out the point where I would need to park about 2/3 of the way up the road if we decided to activate Zwolferkopf but with the road open times and the time of Christos’s return train to Munich, we decided to drop the third summit completely.

On arriving at the top car park, I was happy to find it wasn’t completely full, in fact, it was only half full so the crowds of tourists that we saw at Eisenberg hadn’t decided to head to Falkenstein (which was a relief). That’s not to say that there weren’t a lot more people here than I am used to and after we climbed the steep road from the day-visitor car park to the hotel entrance and then on up the steep track to the ruins, there was a surprise waiting for me.

I normally activate from the raised platform inside the ruins but for some reason, when we got to the gate, it was chained and locked. There have been times in winter when it would make sense to lock the gate as the rocks inside and the steps and platform itself are often ice-covered but I presume this action is more related to COVID – wanting to avoid people meeting up on the small platform. In any case as those controlling the ruins are not the hotel but rather the local council, all the way down in the valley, getting the area opened just for an amateur radio action would have not been successful and certainly not within the time we had available. So it was a matter of finding an alternative spot. I had only brought the Komunica HF-PRO-2 and its photo tripod and radials to this summit in any case as the platform is small and because I wanted to show Christos that this antenna does work as he has been blaming it as the reason that he hasn’t heard me from any summit during the last year. Using this on 20m, I worked a friend of Christos, Dinos SV3IEG without problem, so I think the more likely reason for the lack of contacts has been simply that I haven’t been out as much over the last year.

In any case after going around the base of the ruin, we returned back to the side facing the path up and found a small area there to set up the gear on. I wasn’t happy that this was so close to the castle wall but despite that somehow Lars SA4BLM in Sweden made it into the log. We worked 20m SSB and CW before switching to 40 metres which at this time in the afternoon was almost dead. A surprise for me as I’m used to 40m being so full that you can’t find a free frequency! Although we had plenty of time before Christos’s train we had to take into account the fact that the private road used to leave the summit, is only open in a downward direction for 10 minutes and missing that would mean you have to wait until the next hour. All went well, although Christos had rather a long wait at the station in what was like a bus stop shelter (these small rural stations no longer have any buildings whatsoever) and work more like a bus stop than a railway station. 

 Photos – Eisenberg:

This slideshow requires JavaScript.

 Photos – Falkenstein:

This slideshow requires JavaScript.

Equipment used:

  • Mountaintop travelling 40-litre rucksack.
  • Xiegu G90.
  • Sotabeams linked dipole “Band Hopper” on Eisenberg.
  • 6m LambdaHalbe mini-mast on Eisenberg.
  • Komunica HF-PRO2-Plus-T HF/VHF vertical and photo tripod with radials.
  • Battery box (2 x 5000maH hard-case 4S LIPOs).
  • Painters thick plastic sheet.
  • Lightweight headphones.

Log – Eisenberg:

Log – Falkenstein:

Conclusions:

  • The radio gear worked without issue with the only problem being the loss of one rubber band used in packing up the linked dipole, which fell between the planks on the platform at Eisenberg never to be seen again.
  • The new smartphone – an LG K42 was better in its “High-Contrast” mode (black backgrounds) but still was not easy to read. It connected to the 4G LTE network without any issues thankfully.
  • This was a day where the temperature was at the point, where one didn’t know whether to wear a jacket or not and the result of a jacket and a still relatively heavy rucksack caused a lot of sweating.
  • It’s enjoyable but tiring to do a joint activation with another amateur.

73 ’til the next summit.

 

 

 

 

 

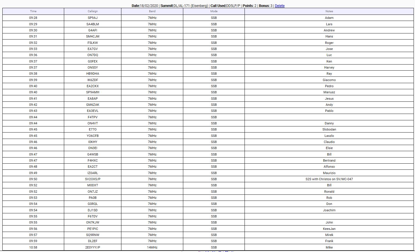
DD5LP/P – February 17th 2020 – DL/AL-171 Eisenberg.

Preparation:

After the problems at the last two (same day) activations (Weichberg & Auerberg) I had been wanting to get out again both to test the repaired equipment and to bag some more activator winter bonus points before it is too late. The weather had different ideas however with some storms and heavy rain. In winds gusting up to 140 km/h on the lowlands, I didn’t fancy my chances on a summit!

I was watching the weather forecast and Tuesday 17th. February was supposed to be fine, between two storm fronts coming through here. I had my doubts on Monday however which was supposed to be raining all day and was totally dry and sunny. Could the weather forecasters be out by one day again? I had originally planned to get to my first summit in time for the grey-line window to Australia & New Zealand but scrapped that idea and decided rather go later so that I could see how the weather was. The plan was then to head to Eisenberg and activate, followed by having lunch at Schlossbergalm, whose private road, car park and footpath I use for accessing this summit. This Tuesday was their first day open after a staff holiday break, so this should fit well. After “re-tanking” myself at the restaurant, it’s only a short drive over to Falkenstein (another castle ruins on a summit), where I could make my second activation.

I do have a new rucksack which I am trying to set up in such a way, that I can operate the rig (and amplifier) while they are still in the rucksack. To do this I have bought some plastic drawers which fit nicely into the bag. Unfortunately, I ran out of time in this work, so I decided it was best to use my normal “2-bag” set-up, which I prepared on Monday. For antennas, I decided not to take the surveyors tripod and 10 metre mast this time, rather to just take the 6-metre mast and strap it to the fence post which I know is available on the lookout platform at Eisenberg and while space is limited at Falkenstein, I packed my photo-tripod / Komunica HF-Pro2 combination for that activation.

The Activation:

I woke to rain and wind at 6:30 am. It looked like my activation may not be possible but by 8:30 am the storm had passed and I was on the road by 8:45 am. The drive to Eisenberg was a little blustery en-route a couple of times but nothing too bad.
On arriving at the restaurant car park just before 10 am, the place looked deserted (they are supposed to open at 10 am but this being the first day back after their break, someone probably slept in!) – they were there doing good business when I returned from the summit at around 1pm.

The walk up to the summit is quite steep and took a good 15 minutes but it is nice to arrive at a summit, knowing where you will attach the mast, lay out the plastic sheet etc. I was on the air just before 10:30 am local time (0930 UTC) and 40 metres was very busy – I thought there must be a contest on or something – but on a Tuesday? No – just good (short skip) conditions. After about 10 minutes working a few stations, (just running the 20w rig without the amplifier) snow started to fall but it was only light and didn’t last more than 15 minutes and afterwards, the sun came out. About this time I had to move frequency as the frequency that was clear when I started using it, now had another station right next to my frequency causing QRM. So I moved and re-spotted myself to be greeted after a couple of CQ calls with a pile-up of 30 stations that kept me busy up until 11 am local (1000 UTC). Before moving frequency I had already worked 6 stations and had the summit “activated” in any case.

I decided to give 20 metres a try but couldn’t get even one SOTA chaser to call me although the band seemed quite active. At 1010 UTC I decided to pack up and head down to the restaurant for something to eat. As I had got all the radio gear packed away and was about to start on the antenna, I got an email from Ernie VK3DET saying that he had listened for me on 40m & 20m but not heard anything, but that Mike 2E0YYY was now on 14.290MHz and could I give a listen! I wondered whether it would be worth it, and considered saying it was too late but as the antenna was still up I decided to unpack everything and connect it all up again to take a listen. Well, once I was on frequency, I could hear someone at a reasonable strength but it wasn’t Mike in England, rather it was Ernie VK3DET in Australia! The next station I heard was Ian VK3YFD – both were S4 or S5 signals – this was a surprise. They were a lot stronger than the 3-3 signal I started to get from Mike. I tried calling both the Australian stations and Mike had them listen for me but it was not to be. I even dug out the amplifier to take the signal up from 20w to 70w – then I couldn’t even get a response from Mike although his signal had come up a little – so I thought there must be something is wrong in the amplifier (This turned out later to be operator error – I had the low pass filter switched to 40m although I was on 20m). I switched back to just 20w and no amplifier in circuit and Mike could hear me again. The next surprise was an Indian station Patel VU2XO who called in on the frequency, worked the two Australian stations, then swung his beam around and I think worked Mike. I could actually hear him off the back of his beam when he first called in and when he was calling Mike. He couldn’t hear me though.

By 1110 UTC the 20m band had closed and I packed everything up again. By staying so long at my first summit, my schedule was out for the second one and the batteries both for the rig and in my mobile phone had been drained a lot, so I decided to not go to the second summit and rather get something to eat at the restaurant and then head home.
After walking back to the car park from the summit, I could see that the restaurant was full, meaning I would most likely have to wait 30 minutes before getting served, so I decided just to eat my pack-up while driving home.

The journey home was straight forward and I was home mid-afternoon – just in time to take the dog out for her afternoon walk.

When I came to test the amplifier later in the day, I realised what I had done wrong with the LPF setting!

Photos:

This slideshow requires JavaScript.

Equipment:

  • Xiegu X108G.
  • 70-watt portable HF amplifier.
  • DYC-817 speech compressor and Clone Yaesu microphone (not used).
  • LambdaHalbe 6m mast
  • Battery box (2 x 5000maH hard-case 4S LIPOs).
  • Photo tripod with clip-on radial wires (not used).
  • Komunica Power HF-Pro-2 loaded vertical antenna (not used).
  • SOTABeams Band Hopper linked dipole (now with 1:1 SOTABeams balun fitted).
  • Thick green plastic painters sheet.
  • Smartphone with PocketRxTx App and USB cable acting as an external display to the rig.

Log:

Conclusions:

I was lucky that the weather was, apart from a 15-minute snowstorm, cold but dry and sunny. I was nice to have so many people come up and ask what I was doing so that I could promote the hobby. One couple I think were really interested and we may see another retiree joining our ranks soon.

Deciding to put the gear back together, despite making no DX contacts, hearing the Indian station and the two Australian stations was a thrill and worth the reschedule, even though it meant I had to drop the second activation.

  • Positives
  • hearing both Australia and India (India for the first time for me) from the summit.
  • the repaired linked dipole antenna after it breaking on the last outing CERTAINLY works and perhaps the addition of the 1:1 Balun has improved it.
  • the diodes in my voltage-dropper arrangement did not de-solder themselves despite the heavy usage of the 13.8v supply at 20 watts.
  • I was visited by about 8 people (4 couples) and was able to pass some information on about the hobby. The 6 dogs who also called by didn’t seem that interested!
  • Negatives
  •  the silly mistake on the amplifier LPF setting meant that I didn’t check whether I now have the RF feedback problem resolved, nor did I have a chance to try out the external dynamic speech processor.

73 ’til the next summit!

DD5LP/P – March 21st 2019 – DL/AL-170 Zwieselberg, DL/AL-172 Senkelekopf & DL/AL-171 Eisenberg – a tale of technical problems.

Preparation:

All equipment was prepared and loaded in the car the previous day following the activation of Buchberg. This activation was initially planned for a leisurely start but brought forward as it looks like there “might” be some 7MHz long path possibilities into VK/ZL. So a pre-7am start was planned for.

I actually woke earlier as the dog woke me up barking at 4 am when the neighbours cat came past the back door! after dealing with that I tried to get a little more sleep before the alarm went off. I was on the road by 6:50am (0550 UTC) and all went to plan heading for my first summit “Zwieselberg” that I had activated a couple of years ago, so I knew the route but despite that I put the Navi (GPS) on in the car to avoid any problems. One SOTA operator had told me the week prior that there were trees blocking the road and hence a longer walk is needed. As this was a day after some very heavy winds, i thought he meant that the trees had been blown down. in that case they will have been cleared by now right? well that wasn’t what he meant – see later. First of all we need to get to the summit …

The main road closed on my route someway away from Zwieselberg – at first I thought it was just in the village where I saw the first signs so I diverted around the outside of that village (Bruggen) and that was the problem solved. That was not to be the case, as I approached the small town of Bernbeuren (under the SOTA summit Auerberg) I could see the main road into the town was dug up! The diversion was NOT well sign-posted. In fact at one point it had you going down a “restricted for motor vehicles” road – but everyone else went down there, so I followed them. The Navi (GPS) doesn’t help when a road is closed, it keeps trying to route you back to the same point and indeed the restricted road it didn’t even have in its maps!

The Activation (Zwieselberg):

So after arriving at Vorderzwieselberg and driving up the private road (there’s a sign: public access but at your own risk), I find what the previous activator meant! it wasn’t that one or two trees had been blown over rather that tens of trees had been cut down and stacked not only along the side of the road but also IN the road in the area where I have parked previously (see photos below). with a bit of trepidation, I decide to drive up and park on the grass bank behind some of the logs. the picture doesn’t show the angle very well, but I can say it took all my strength to open the driver’s door wide enough, to be able to get out. Going to the rear of the car, even with it in gear and the hand brake on, I decided to lodge my large sun umbrella base under the back wheel to act as a check. It was not an ideal situation but it looked solid enough. So I now unpacked the car, loaded myself up with my normal two bags, the 10 metre mast and the Surveyors tripod and set off up the steep track (about 85 metre rise in less than a kilometre would be my estimate, to the summit and summit cross. part of the way up, the ground was still muddy and even with my good hiking boots on, I felt myself sliding, some sideways walking solved that problem and indeed I made it up to the top of the summit as the sun was rising into the sky. This summit has lots of space so I decided to put up the linked VP2E that I had used the previous day on Buchberg. Although there is lots of space, the ground does curve down quite a lot, meaning the ends of the antenna were closer to the ground than I would have liked. But “it is what it is”. The views from this summit are stunning and although it was quite cold, the fact that the sun was shining helped me to start to forget the “aggro” from the closed road and the difficult parking situation both of which had cost me valuable time.

The log shows that despite the expectations and my timing being “OK” despite the delays, no VK contacts were achieved. I had scheds with Ernie VK3DET in Victoria, Australia on both 40m & 20m but to no avail. The conditions were simply not good enough. Added to that there was a “clicking” type of QRM on 40m and something that soundeD like OTHR from 14.140 to 14.350 on 20m. I thought the “clicking” QRM may have been a faulty electrical farmers fence but the noise was still there on the next summit, so it seems it was atmospheric. The 20m QRM was however definitely man-made.

Despite the noise I managed 5 contacts on 40m and in fact it was almost 6 contacts but one I had to mark as a “no contact” as I could not copy my report. I did stay longer, calling and hoping that the bands would improve to let me get through to Ernie in Australia but to no avail. As I had lost time already and I knew that the trip to the next summit (which I hadn’t activated before) would take sometime as the 7-8 km away Senkelekopf needed an over 30 minute drive to get there as there are no direct roads, I decided at 0810 UTC to pack up and head back to the car.

Little did I know that I was about to get my next challenge. The car was still where I had parked it and I could load all the equipment into the back of the car but the placement of the large trees would make it difficult  to turn around (in hindsight, I should have reversed back down off the bank onto the road at the same angle that I came up and reversed back down the whole of the private road). The problem as well as the large logs was that the ground under the car was waterlogged and hence grip was limited. Unfortunately my car, like the majority these days is front wheel drive, so as I backed down the slop trying to turn the rear of the car, the driving wheels were still on the slippery surface. I was very aware of the line of logs directly behind my car and so I would stop and check and stop and check inch by inch until I got almost onto the road BUT the problem was the steering doesn’t work on such surfaces so I wasn’t able to turn the front of the car and trying to drive back up the bank to have another go simply spun the wheels. I did not want to have to walk down to the farm to see if they could help, so I looked around in the car to see what I might put under the front wheels to get some traction and decided on the canvas covers from two folding seats. These I jammed under the front wheels. They made a little difference but I was edging closer and closer to those logs behind me. I was at this point that I realised that when the wheels were spinning, the car was slowly sliding sideways on the muddy bank, so with some brake, clutch and accelerator “trickery” I manager to get the front of the car to slide sideways onto the road BEFORE the back of the car met the stacked logs. PHEW! That was close but after finding the canvas covers (which after a run through the washing machine are as good as new) and putting them in the back of the car, I was, at last, able to drive off in the right direction and on to Senkelekopf with the help of the Navi (GPS).

I’m sure the farmer will wonder what has happened to the grass bank, but if he hadn’t stacked the logs on the road rather than at the side of the road (where there was space) I would never have had this problem!

The Activation (Senkelekopf):

The drive to Senkelekopf from Zwieselberg was along single track farm roads for most of the way and when I arrived at the suggested starting point for the climb, by a country guest house, I wondered if someone would complain about me parking there. There was a gravelled spot for parking two cars which didn’t appear to be on anyones actual property (I expect it was the parking for the chapel, for when they have services). So I parked there and decided what to take with me for this summit I actually took the same set-up as I had for Zwieselberg, except I was expecting to have to use the SOTABeams linked dipole antenna rather than the VP2E, but in case I could get that out, I took the 10 metre mast again not the lighter 6 metre one. In my small rucksack I had 2 VP2E antennas, The SOTABeams linked dipole and the Aerial-51 40m OCF antenna.

This is also a steep climb. There are other not so steep routes but they are a lot longer – nice if you have the time. I took my time climbing up the track, stopping to get my breath and take some photos as I climbed. Eventually I saw the summit. There is some large building near to it, which is obviously accessible via one of the other routes with a tractor or similar – it seems to be some kind of farm building. While approaching it a squirrel ran across about 10 metres in front of me and went up a tree. To the left of the building the ground rises up to the actual summit and on top of that is the Holy Cross – this appears to be totalled fenced in and surrounded within the fencing with bushes and small trees. It’s obvious public access to it is not invited. In any case at a similar height behind the cross there was some fairly flat land where I could easily set-up. There was not enough space for the 40m VP2E so I decided to put up my “old faithful” the SOTABeams Bandhopper linked dipole.

Once the surveyors tripod was set up and the 10m mast within it, it took no time to get the rest of the station deployed on my painters sheet on the ground next to the tripod. I was on the air just after 1000 UTC and there were some other summits being activated, so I tuned around and I could hear a couple of the activators and despite my determined calling, neither of them came back to me. So I picked a free frequency, spotted myself and started calling CQ – nothing. Perhaps there was someone on the same frequency that I can’t hear because they are within my skip zone? tried another frequency, still no calls. Then there was QRM on the frequency, tried another frequency. This is all very strange! I check the rig, all appeared OK. So I dropped the antenna, switched to 20m and got my first calls after being on the summit nearly an hour. 20m wasn’t that good though, so I went back to 40m. Again I could hear plenty of stations but none of them wanted to work me. What could be wrong? split frequency? no. Wrong sideband? no. OK, it had to be the antenna! I lowered the mast took off the linked dipole and put up the Aerial-51 OCF. As soon as I spotted myself and called, I had a pile-up – everything was now working – so what was wrong with the other antenna?

Then the battery box failed – what now? I opened the box and found that one of the diodes that I use to drop the voltage down to an acceptable level from my 4S LIPOs had come loose – I pushed it back in place and all worked again. By this point I had 13 calls in the log and was again running late to my schedule, so it was time at 1130 UTC to pack up and head off.

As I was rolling up the SOTABeams linked dipole the wire from the 20m link came away in my hand – THAT had been the problem! that was the reason why it was OK on 20m but not on 40m. when on 40m, one half of the dipole would have been the correct length while the other side would have been too short. I wonder if this caused the rig to draw more power with the bad VSWR and that was the reason, combined with the extended length of time I was using the rig, that one end of one of the diodes de-soldered itself?

At this point with the series of problems I had had, I wondered whether to cancel my third activation and head home? I decided to make the call once I was back at the car and could see how long it would take to get to Eisenberg – a summit that I have activated several times so I knew what was possible and what not.

After getting to the car and packing the gear in, the Navi told me I’m only about a 1/4 hours drive to the next summit and I still had time to do it, so I decided to include it in the day’s activations as planned. So off to Castle Eisenburg!

The Activation (Eisenberg):

On arriving at Eisenberg, I decided not to take the 10 metre mast, the tripod or the VP2E antennas and stick to the 6 metre mast and the Aerial-51 OCF dipole. I’d just get the minimum 4 contacts and then head back down to the car park and to the restaurant for a well-earned “Weissbier” (Wheat beer).

My favourite spot at this summit is out on the wooden platform that has been built onto the end of the ruins. It has convenient posts to support the mast and the ends of the antenna can be tied off to the wooden railings. I set myself up in a corner on my painters sheet quite quickly as there were no tourists there when I arrived. they came later but caused no issues or interruptions. Starting at 1300 UTC all went well with seven 40m contacts in seven minutes. Just as I finished the last QSO of the seven I lost power from the battery box again and looking at it this time, the diode that had disconnected itself at Senkelekopf has disconnected at both ends this time and so there was no “quick fix”. I no longer use the bump-up bump-down “buck” voltage converters as they create RFI, hence the reason that I switched to the “quiet” diodes but these do need to dissipate some power as heat. After getting home I re-soldered the diode back in place as this is the first time in 10 activations that this has happened. If the problem occurs again I’ll add a second run of terminal block so that the diodes are no longer soldered together.

I packed up at 1310 UTC following the loss of power and headed back to the car park, dropped in all the gear into the car and went across to sit outside the restaurant in the sun, gaze at the views and drink a nice cool, well-earned, Weissbier. A great end to a busy day.

The drive home was a route I knew without needing to use the Navi and went without any more incidents.

That’s 15 activating points today 3 x 2 point summits each with a 3 point winter bonus. There’s still three more summits, all with long walk-ins located a fair distance from the home QTH which, if the weather keeps fine I will try to fit in, in one day, before the winter bonus finishes.

Photos (Zwieselberg):

This slideshow requires JavaScript.

Photos (Senkelekopf):

This slideshow requires JavaScript.

Photos (Eisenberg):

This slideshow requires JavaScript.

Equipment used:

Zwieselberg:

  • Xiegu X108G plus battery box (2 x 5000maH hardcase LIPOs)
  • Linked (40m/20m) VP2E antenna
  • 10 metre DX-Wire fibreglass portable mast.
  • Surveyors tripod.
  • Smartphone PocketRxTx App and USB cable.

Senkelekopf:

  • Xiegu X108G plus battery box (2 x 5000maH hardcase LIPOs).
  • SOTABeams linked dipole.
  • Aerial-51 OCF dipole antenna
  • 10 metre DX-Wire fibreglass portable mast.
  • Surveyors tripod.
  • Thick plastic painters sheet.
  • Smartphone PocketRxTx App and USB cable.

Eisenberg:

  • Xiegu X108G plus battery box (2 x 5000maH hardcase LIPOs)
  • 6 metre lambdahalbe fibreglass portable mast.
  • Thick plastic painters sheet
  • Aerial-51 OCF dipole antenna
  • Smartphone PocketRxTx App and USB cable

Log (Zwieselberg):

Log (Senkelekopf):

Log (Eisenberg):

Conclusions:

A really challenging day with a few problems to resolve but in the end, I managed the three summit activations almost on schedule and all were in sunshine, something that has been rare around here lately.

All three summits had long steep climbs of 80-100m. Despite the cumbersomeness and weight of the surveyors tripod it continues to be my favorite when going to a summit where I know mast supports are limited or to a new summit, where I don’t know whether there will be any supports at all (as was the case with Senkelekopf).

The propagation did not provide the expected improvements and no contacts into VK were possible although I was at the first summit at the right time for long path.

73 ’til the next Summit!